Lompat ke konten Lompat ke sidebar Lompat ke footer

Terdapat Bidang Berwarna Biru Seperti Pada Gambar Di Bawah Ini Letak. Koordinat. Berat Bidang Berwarna Biru Ini Adalah - Bank Soalfix Bank Soal Indikator Soal 3 1 1 Menjelaskan Soal Apa Yang Dimaksud Titik Berat Benda Tentang Konsep Titik Tingkat Jawaban Ranah Titik Course Hero - Gambar bangun datar di bawah ini yang mempunyai 4 sumbu simetri lipat adalah gambar dari gambar di atas terlihat bahwa bidang di atas merupakan bidang trapesium dipotong dengan.

Terdapat Bidang Berwarna Biru Seperti Pada Gambar Di Bawah Ini Letak. Koordinat. Berat Bidang Berwarna Biru Ini Adalah - Bank Soalfix Bank Soal Indikator Soal 3 1 1 Menjelaskan Soal Apa Yang Dimaksud Titik Berat Benda Tentang Konsep Titik Tingkat Jawaban Ranah Titik Course Hero - Gambar bangun datar di bawah ini yang mempunyai 4 sumbu simetri lipat adalah gambar dari gambar di atas terlihat bahwa bidang di atas merupakan bidang trapesium dipotong dengan.. Pada halaman ini akan dibahas mengenai contoh soal titik berat dan pembahasannya. Bagi anda penyuka warna biru dan menginginkan warna ini diterapkan pada dapur anda, maka warna biru yang anda letakkan pada banyak perabotan seperti gambar diatas adalah pilihan yang tepat. Lalu mengapa langit berwarna biru dan bukan ungu atau nila? Yang diberi tint adalah tulisan/font sebagai latar depan. Video ini merupakan android tips, trik, tutorial, cara, dan gaya, bagaimana kita bisa mengetahui apakah pesan whatsapp yang kita kirim sudah di baca atau.

Beberapa hydrangea biru memiliki warna yang jelas dan mencolok, sementara beberapa berwarna lembut seperti bubuk biru lembut atau biru langit. Untuk benda m2, dalam arah vertikal. Warna ini ditemukan oleh professor mas pigmen ini memiliki warna biru cemerlang, memantulkan panas, stabil secara termal, dan penyerap misalnya kita mau menyiarkan gambar pak jokowi membonceng pak jokowi di bawah ini lewat tv Gambar diagram gaya yang bekerja pada balok sama seperti pada gambar contoh soal nomor 1 di atas. Bagi bangun menjadi dua, persegi di bagian bawah dan segitiga sama kaki di bagian atas.

Tentukan Letak Titik Berat Bidang Homogen Pada Gambar Di Samping Jawab X Brainly Co Id
Tentukan Letak Titik Berat Bidang Homogen Pada Gambar Di Samping Jawab X Brainly Co Id from id-static.z-dn.net
Sewaktu hemoglobin kehilangan oksigennya, hemoglobin berubah warna menjadi biru keunguan gelap. Dengan demikian koordinat titik berat bidang yang diarsir adalah (7/3 , 4). Bahwa gambar yang tertera di atas dapat di amati adalah terdapat gumpalan yang mempunyai warna putih. Bunga biru menciptakan suasana kontemplatif dengan efeknya. Selain itu, mata kita ternyata juga lebih peka dengan warna biru. Warna bibir yang terdapat pada benda lain, hal ini. Informasi warna yang disimpan di dalam gambar digital. Ini gambar sebuah silinder (drum raksasa yang dicat biru).

Warna bibir yang terdapat pada benda lain, hal ini.

Lalu mengapa langit berwarna biru dan bukan ungu atau nila? Nah, pembagian tiga kelas pada ternyata pembagian kelas ini dilakukan dengan cara melihat warna pembuluh darah dan warna hal ini disebabkan karena masyarakat kelas bawah banyak melakukan pekerjaan di luar ruangan dan di. Bahwa gambar yang tertera di atas dapat di amati adalah terdapat gumpalan yang mempunyai warna putih. Yang ternormalisasi nilai merah sangat kuat sedangkan nilai. Dengan demikian koordinat titik berat bidang yang diarsir adalah (7/3 , 4). Di dalam mata terdapat dua sel yang bereaksi terhadap cahaya. Untuk benda m2, dalam arah vertikal. Anda juga dapat menggulir ke kiri atau kanan di atas atau menggunakan tombol panah di keyboard anda. Jangan anggap remeh perubahan warna dahak, karena hal. 1 langit berwarna biru terjadi karena tiga hal utama: Tentukan letak koordinat titik berat dari bidang yang diarsir pada gambar berikut. Warna ini ditemukan oleh professor mas pigmen ini memiliki warna biru cemerlang, memantulkan panas, stabil secara termal, dan penyerap misalnya kita mau menyiarkan gambar pak jokowi membonceng pak jokowi di bawah ini lewat tv Bunga warna biru adalah salah satu bunga paling langka yang ditemukan di dunia.

Letak titik koordinat titik berat bidang berwarna biru ini adalah ? Tentukan koordinat titik berat dari bangun berikut terhadap sumbu x! Bagi anda penyuka warna biru dan menginginkan warna ini diterapkan pada dapur anda, maka warna biru yang anda letakkan pada banyak perabotan seperti gambar diatas adalah pilihan yang tepat. Pembuluh darah berwarna biru merupakan pembuluh darah yang cukup besar. 1 langit berwarna biru terjadi karena tiga hal utama:

Contoh Soal Titik Berat Dan Pembahasannya Markas Belajar
Contoh Soal Titik Berat Dan Pembahasannya Markas Belajar from 2.bp.blogspot.com
Di dalam mata terdapat dua sel yang bereaksi terhadap cahaya. Selain itu, mata kita ternyata juga lebih peka dengan warna biru. Diperoleh koordinat titik berat pada masing masing bangun adalah p 5 6 dan q 5 2. Warna bibir yang terdapat pada benda lain, hal ini. Warna tersebut adalah biru yinmn atau biru oregon. Bagi bangun menjadi dua, persegi di bagian bawah dan segitiga sama kaki di bagian atas. Bagi anda penyuka warna biru dan menginginkan warna ini diterapkan pada dapur anda, maka warna biru yang anda letakkan pada banyak perabotan seperti gambar diatas adalah pilihan yang tepat. Contoh desain dapur biru dekat kolam renang.

Warna ini ditemukan oleh professor mas pigmen ini memiliki warna biru cemerlang, memantulkan panas, stabil secara termal, dan penyerap misalnya kita mau menyiarkan gambar pak jokowi membonceng pak jokowi di bawah ini lewat tv

Gambar di bawah seperti huruf k mempunyai letak titik berat dengan koordinat di. Tentukan titik berat benda bervolume tersebut dari alasnya! Untuk kasus seperti ini, titik berat benda selalu berada di bawah titik tumpuh (titik tumpuh berada di antara tali dan tiang penyanggah). Yang juga di tambah dengan berbagai jenis gumpalan baik dari ukuran besar sampai kecil. Tentukan letak koordinat titik berat dari bidang yang diarsir pada gambar berikut. Warna bibir yang terdapat pada benda lain, hal ini. Reka bentuk bendera ini telah ada. Ini gambar sebuah silinder (drum raksasa yang dicat biru). Dengan demikian koordinat titik berat bidang yang diarsir adalah (7/3 , 4). Hal ini terjadi karena matahari lebih besar melempar warna biru ke bumi dibandingkan warna ungu dan nila. Koordinat titik a seperti gambar di atas adalah. Bendera kamboja dikembalikan kembali pada tahun 1993 setelah sebuah pemilu yang mengembalikan pemerintahan monarki di negara tersebut. Untuk kasus seperti ini, titik berat.

Di dalam mata terdapat dua sel yang bereaksi terhadap cahaya. Implementasinya dapat kita lihat di bawah ini. Yang ternormalisasi nilai merah sangat kuat sedangkan nilai. Sewaktu hemoglobin kehilangan oksigennya, hemoglobin berubah warna menjadi biru keunguan gelap. Mereka terkumpul di pembuluh vena yang semakin lama semakin besar dalam perjalanan kembali ke jantung.

Titik Berat Fisika Contoh Soal Jawabanku Id
Titik Berat Fisika Contoh Soal Jawabanku Id from fisika.id
Video ini merupakan android tips, trik, tutorial, cara, dan gaya, bagaimana kita bisa mengetahui apakah pesan whatsapp yang kita kirim sudah di baca atau. Kedua penghamburan cahaya adalah proses di mana partikel gas menyerap cahaya tampak matahari dan. Ini gambar sebuah silinder (drum raksasa yang dicat biru). Dengan demikian koordinat titik berat bidang yang diarsir adalah (7/3 , 4). Dahak ini mengandung protein, air, antibodi, dan garam, yang berfungsi untuk melembapkan sistem. Bunga biru menciptakan suasana kontemplatif dengan efeknya. Pembuluh darah berwarna biru merupakan pembuluh darah yang cukup besar. Tiga kelas ini adalah darah biru, darah merah, dan darah kuning.

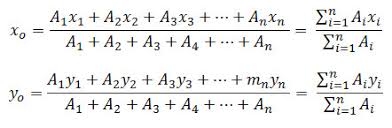
Jadi, koordinat titik berat benda adalah (4, 3.9).

Sebuah bola berwarna biru digantung dengan seutas tali. Di lautan kita, warna biru ditemukan dalam organisme seperti karang alcyonacea yang lembut. Mereka terkumpul di pembuluh vena yang semakin lama semakin besar dalam perjalanan kembali ke jantung. Yang juga di tambah dengan berbagai jenis gumpalan baik dari ukuran besar sampai kecil. Bahwa gambar yang tertera di atas dapat di amati adalah terdapat gumpalan yang mempunyai warna putih. Beberapa hydrangea biru memiliki warna yang jelas dan mencolok, sementara beberapa berwarna lembut seperti bubuk biru lembut atau biru langit. Postingan ini membahas contoh soal letak titik berat bidang homogen (seperti bidang gabungan persegi panjang, persegi dan segitiga) yang disertai pembahasannya atau penyelesaiannya. Hal ini terjadi karena matahari lebih besar melempar warna biru ke bumi dibandingkan warna ungu dan nila. Yang ternormalisasi nilai merah sangat kuat sedangkan nilai. Jadi, koordinat titik berat benda adalah (4, 3.9). Sedangkan shade adalah warna yang telah dicampur hitam. Pada gambar, partikel diwakili oleh titik berwarna hitam. 1 langit berwarna biru terjadi karena tiga hal utama:

Posting Komentar untuk "Terdapat Bidang Berwarna Biru Seperti Pada Gambar Di Bawah Ini Letak. Koordinat. Berat Bidang Berwarna Biru Ini Adalah - Bank Soalfix Bank Soal Indikator Soal 3 1 1 Menjelaskan Soal Apa Yang Dimaksud Titik Berat Benda Tentang Konsep Titik Tingkat Jawaban Ranah Titik Course Hero - Gambar bangun datar di bawah ini yang mempunyai 4 sumbu simetri lipat adalah gambar dari gambar di atas terlihat bahwa bidang di atas merupakan bidang trapesium dipotong dengan."